如何通过PageRank判断SEO排序结果
阅读 · 发布日期 2022-03-22 16:24 · admin
想必在做SEO的时候有同学发现相同的网站有两个页面但是排名的名次不同,既然是同一个网站那么应该权重都一样怎么会一个排名前面一个后面呢?在搜索引擎当中每个网页都有对应的页面得分在决定这两个页面排名顺序是运用到了TF-IDF算法跟PageRank链接算法,今天给大家分享关于SEO算法的文章。
链接分析排序的思想起源于文献引文索引机制,即谁的论文被引用次数多、引用它的论文的质量高,谁就被认为是权威,论文就是好论文。这个思路移植到网上就是谁的网页被链接次数多、链接它的网页质量高,那个网页就被认为是质高,人气旺,是用户所需要的。链接分析算法大体可以分为3类,基于随机漫游模型的,比如pagerank,Repution算法;基于Hub和Authority相互增强模型的,如HITS及其变种;基于概率模型的,如SALSA;百度的超链分析和谷歌的PageRank都属于链接分析排序技术。在两者搜索引擎之间,算法都是有异曲同工之妙之处,本文重点讲解分析PageRank算法。

什么是PageRank算法
PageRank,网页排名,又称网页级别、Google左侧排名或佩奇排名,是一种由根据网页之间相互的超链接计算的技术,而作为网页排名的要素之一,以Google公司创办人拉里·佩奇(LarryPage)之姓来命名。Google用它来体现网页的相关性和重要性,在搜索引擎优化操作中是经常被用来评估网页优化的成效因素之一。Google的创始人拉里·佩奇和谢尔盖·布林于1998年在斯坦福大学发明了这项技术。
PageRank通过网络浩瀚的超链接关系来确定一个页面的等级。Google把从A页面到B页面的链接解释为A页面给B页面投票,Google根据投票来源(甚至来源的来源,即链接到A页面的页面)和投票目标的等级来决定新的等级。简单的说,一个高等级的页面可以使其他低等级页面的等级提升。

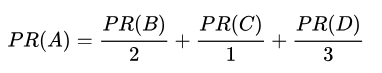
PageRank算法原理公式
PageRank利用了互联网独特的民主特性及其巨大的链接结构。实质上,当从网页A链接到网页B时,PageRank就认为“网页A投了网页B一票”。可根据网页的得票数评定其重要性。然而,除了考虑网 页得票数(即链接)的纯数量之外,还要分析为其投票的网页。“重要”网页所投之票自然份量较重,有助于增强其他网页的“重要性”。这样,重要的、高质量的网页可获得较高的网页级别,从而在搜索结果中可获较高的排位,假设一个由4个页面组成的小团体:A,B,C和D。如果所有页面都链向A,那么A的PR(PageRank)值将是B,C及D的Pagerank总和。

继续假设B也有链接到C,并且D也有链接到包括A的3个页面。一个页面不能投票2次。所以B给每个页面半票。以同样的逻辑,D投出的票只有三分之一算到了A的PageRank上。

假设一个由4个网页组成的群体:A,B,C和D。如果所有页面都只链接至A,那么A的PR(PageRank)值将是B,C及D的Pagerank总和。

对于一个页面A,那么它的PR值为:

说明:在SergeyBrin和LawrencePage的1998年原文中给每一个页面设定的最小值是1-d,而不是这里的(1-d)/N。所以一个页面的PageRank是由其他页面的PageRank计算得到。Google不断的重复计算每个页面的PageRank。如果给每个页面一个随机PageRank值(非0),那么经过不断的重复计算,这些页面的PR值会趋向于稳定,也就是收敛的状态。这就是搜索引擎使用它的原因。
简单说来,搜索引擎通过下述几个步骤来实现网页在其搜索结果页中的排名
1、找到所有与搜索关键词匹配的网页。
2、根据页面因素如标题,关键词密度等排列等级。
3、计算导人链接的锚文本中的关键词。
4、通过PageRank得分调整网站排名结果。
事实上,真正的网站排名过程并不是这么简单,据百度等搜索引擎介绍,搜索引擎除了用PageRank算法衡量网页的重要程度以外,还有其它上百种因素来参与排序。其它搜索引擎也是如此,不可能只按照某一种规则来进行搜索结果的排序。要想做好SEO排名,了解算法原理本身,通过从本质出发,搜索引擎结果排序其实会越做越简单。网站优化是指通过对网站功能、网站结构、网页布局、网站内容等要素的合理设计,使得网站内容和功能表现形式达到对用户友好并易于宣传推广的最佳效果,充分发挥网站的网络营销价值,是一项系统性和全局性的工作,包括对用户的优化、对搜索引擎的优化、对运营维护的优化。网站优化已经成为网络营销经营策略的必然要求。
网站优化可以从狭义和广义两个方面来说明。
(1)狭义的网站优化,即搜索引擎优化,也就是让网站设计得适合搜索引擎检索,满足搜索引擎排名的指标,从而在搜索引擎检索中获得靠前的排名,增强搜索引擎营销的效果。
网站优化的最终结果是要把网站的排名优化,而首先要做的是网站的内部优化,分析网页相关性。
(2)广义的网站优化所考虑的因素不仅仅是搜索引擎,也包括充分满足用户的需求特征、清晰的网站导航、完善的在线帮助等,在此基础上使得网站功能和信息发挥出最佳的效果,也就是以企业网站为基础,与网络服务商(如搜索引擎等)、合作伙伴、顾客、供应商、销售商等网络营销环境中各方面因素建立良好的关系。
网站优化是企业进军互联网必然的选择。通过对企业的网站进行网站优化(搜索引擎优化),使企业网站对搜索引擎更加友好,提高企业网站在搜索引擎中的排名,增强企业的宣传推广效果。搜索引擎优化,是影响客户网站在搜索引擎排名的最主要的因素。由于各个搜索引擎考虑的侧重点不同,所以在不同的搜索引擎上搜索出来的结果也是不同的。
从易用性来说,网站优化的原因有:最早的网站可能存在每当主流浏览器升级时,刚刚建立的网站就有可能过时的问题,这就需要升级或重新建造一遍网站;为了使网站兼容Netscape和IE,网站不得不为这两种浏览器提供不同的代码;每当新的网络技术和交互设备出现后,也需要制作新版本来支持这种新技术或设备,如支持手机上网的WAP技术;网站代码臃肿浪费了大量带宽。经过优化的网站文件下载与页面显示速度更快;内容能够被更多的用户所在地访问;当浏览器版本更新,或者出现新的网络交互设备时,确保所有应用能够继续正确执行。
从可维护性和搜索引擎优化的角度来说,网站优化的原因有:简洁的代码,大大降低了带宽的要求,加快了页面加载速度,使得网站更容易维护;有利于搜索引擎抓取,使得网站对于搜索引擎更加友好,有利于提高网站的排名等。
对于网站设计和开发人员来说,网站优化就是使用标准;对于用户来说,网站优化就是最佳体验。


网站优化,SEO优化,关键词排名-搜索引擎营销推广城市导航:
- 上一篇:租车网站优化的特点是什么,该怎么优化?
- 下一篇:什么是锚文本,锚文本链接对优化的
